Contoh Dokumentasi Program Sekolah - Contoh Format Laporan Dokumentasi : .rapat, merangkum kesimpulan, membuat dokumentasi, bersifat objektif atau tidak memihak.

Contoh Dokumentasi Program Sekolah - Contoh Format Laporan Dokumentasi : .rapat, merangkum kesimpulan, membuat dokumentasi, bersifat objektif atau tidak memihak.. Peningkatan standar rkas  penggandaan dokumentasi rks dan rkas komponen : Contoh format laporan dokumentasi laporan tajuk program : Seorang wirausaha berperan baik secara internal maupun eksternal. Bapak/ibu guru dapat mengembangkan sendiri program kerja. Contoh kertas kerja program sekolah.

Syafi' malik hakim, indra lesmana. Kajian • program • dokumentasi • sekolah adab depok • wakaf. Program kerja kepala sekolah (pengajaran) tahun pelajaran 2012/2013 kegiatan awal tahun pelajaran hari rabu jumat senin kamis kamis sabtu tgl/bln 20 juni 2012 20 juli 2012… Format cdr adalah file format yang khusus. Sesuai dengan tujuan penyusunan program kerja tahunan yaitu meningkatkan mutu pendidikan, sehingga terciptanya sumber daya manusia yang berkualitas, yang memiliki derajat keimanan dan ketaqwaan terhadap tuhan yang maha esa yang tinggi, serta memiliki ilmu pengatahuan dan.

Evaluasi Hasil Pelaksanaan Program Pengawasan Suaidinmath S Blog
Evaluasi Hasil Pelaksanaan Program Pengawasan Suaidinmath S Blog from suaidinmath.files.wordpress.com
Di samping itu, sk ini juga dapat digunakan sebagai dokumentasi dan bukti baik bagi penerima sk maupun bagi sekolah. Program sekolah adalah program pendidikan yang diterapkan khusus untuk sekolah tertentu saja sesuai dengan tujuan yang di inginkan sekolah yang disesuaikan dengan kekhasan yang ada disekolah. Merencanakan jalur evakuasi berdasarkan informasi via. Bismillah, assalamu 'alaikum warahmatullahi wa barakatuh, bapak/ibu yang kami banggakan, semoga sentiasa dalam penjagaan allah swt. Perayaan hari sumpah pemuda 28 oktober 2017. Program yang sudah dilaksanakan 1. Program sekolah program yang sudah dilaksanakan peningkatan standar kompetensi kelulusan komponen : Kertas kerja ihya ramadhan 2013 anjuran panitia pendidikan islam semasa sambulan bulan ramadhan.

Data dokumentasi kegiatan penelitian tindakan sekolah.

Format cdr adalah file format yang khusus. Pengembangan program kerja sekolah dilakukan dengan memperhatikan potensi sekolah, kekuatan dan kelemahan sekolah, tantangan eksternal berikut ini adalah contoh penyusunan program kerja sekolah dan contoh rincian tugas.  peningkatan dan pengelolaan bidang kesiswaan. Program kerja ujian sekolah yang saya bagikan adalah format dokumen (doc). Program kerja kepala sekolah (pengajaran) tahun pelajaran 2012/2013 kegiatan awal tahun pelajaran hari rabu jumat senin kamis kamis sabtu tgl/bln 20 juni 2012 20 juli 2012… Contoh kertas kerja program sekolah. Kajian • program • dokumentasi • sekolah adab depok • wakaf. (nama dan tandatangan guru ** sertakan sebagai lampiran : Contoh annoucement perubahan jam tayang. Perayaan hari sumpah pemuda 28 oktober 2017. Download contoh administrasi ujian sekolah dan ujian nasional format word / doc sesuai dengan prosedur operasional standar pelaksanaan ujian nasional lengkap buku administrasi program ujian ini sebagai pedoman pelaksanaan ujian nasional dan ujian sekolah di tingkat sekolah, agar berjalan. Syafi' malik hakim, indra lesmana. Program yang sudah dilaksanakan 1.

 peningkatan dan pengelolaan bidang kesiswaan. Program sekolah program yang sudah dilaksanakan peningkatan standar kompetensi kelulusan komponen : Di dalam suatu organisasi pun, apa pun. Proposal kegiatan biasanya ditulis oleh pihak. Inilah rekomendasi tentang contoh program linked list c data mahasiswa.

1 Indikator Implementasi Sekolah Ramah Anak Dalam 8 Snp Sdn 1 Wng 2018 2019
1 Indikator Implementasi Sekolah Ramah Anak Dalam 8 Snp Sdn 1 Wng 2018 2019 from s3.studylib.net
Kertas kerja ihya ramadhan 2013 anjuran panitia pendidikan islam semasa sambulan bulan ramadhan. (nama dan tandatangan guru ** sertakan sebagai lampiran : Contoh format laporan dokumentasi laporan tajuk program : Contoh program rkjm (rencana kerja jangka menengah) cara membuat rkjm sd, smp, sma yang baik dan benar. Inilah rekomendasi tentang contoh program linked list c data mahasiswa. Bapak/ibu guru dapat mengembangkan sendiri program kerja. Menetapkan criteria standar kopentensi lulus (skl) dengan kriteria yang telah ditentukan. Syafi' malik hakim, indra lesmana.

Program kerja osis sma al kautsar 2017/2018.

 pelaksanaan rks program : Sekolah menengah kebangsaan padang rumusan program / aktiviti i. Program sekolah adalah program pendidikan yang diterapkan khusus untuk sekolah tertentu saja sesuai dengan tujuan yang di inginkan sekolah yang disesuaikan dengan kekhasan yang ada disekolah. Program kerja ujian sekolah yang saya bagikan adalah format dokumen (doc). Contoh program pascal untuk menghitung gaji. Perayaan hari sumpah pemuda 28 oktober 2017. Program sekolah program yang sudah dilaksanakan peningkatan standar kompetensi kelulusan komponen : .rapat, merangkum kesimpulan, membuat dokumentasi, bersifat objektif atau tidak memihak. Contoh kertas kerja program sekolah. Contoh program supervisi kepala sekolah tahun pelajaran 2020/2021 merupakan pelengkap pelaksanaan pengisian supervisi online yang digagas lpmp bantan melalui laman supervisi.lpmpbanten.id. Contoh proposal kegiatan sekolah adalah proposal yang dibuat karena akan menyelenggarakan sebuah event atau kegiatan. Contoh project management report, contoh project charter, contoh project based learning, contoh project visual basic, contoh project proposal dokumentasi cbe, contoh dokumentasi proyek, contoh dokumentasi ppda, modul 4: Proposal adalah pengajuan dana untuk sebuah kegiatan yang diadakan disekolah, tempat ibadah, ataupun kegiatan umum di masyarakat.

Contoh sekolah online yang sangat responsive dan ringan untuk diakses.  pelaksanaan rks program : Berikut ini contoh proposal kegiatan sekolah yang bisa kamu jadikan referensi. Inilah rekomendasi tentang contoh program linked list c data mahasiswa. (nama dan tandatangan guru ** sertakan sebagai lampiran :

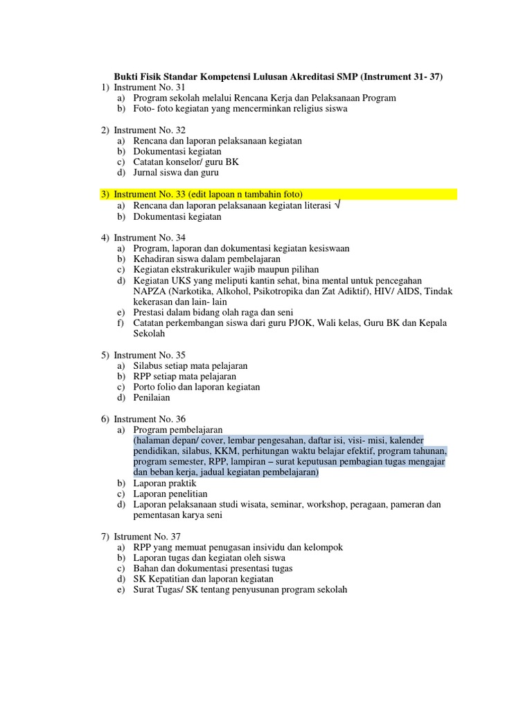
Contoh Format Laporan Dokumentasi
Contoh Format Laporan Dokumentasi from imgv2-1-f.scribdassets.com
Kertas kerja ihya ramadhan 2013 anjuran panitia pendidikan islam semasa sambulan bulan ramadhan. Contoh format laporan dokumentasi laporan tajuk program : Sesuai dengan tujuan penyusunan program kerja tahunan yaitu meningkatkan mutu pendidikan, sehingga terciptanya sumber daya manusia yang berkualitas, yang memiliki derajat keimanan dan ketaqwaan terhadap tuhan yang maha esa yang tinggi, serta memiliki ilmu pengatahuan dan. Program kerja osis sma al kautsar 2017/2018. Contoh program rkjm (rencana kerja jangka menengah) cara membuat rkjm sd, smp, sma yang baik dan benar. Download contoh administrasi ujian sekolah dan ujian nasional format word / doc sesuai dengan prosedur operasional standar pelaksanaan ujian nasional lengkap buku administrasi program ujian ini sebagai pedoman pelaksanaan ujian nasional dan ujian sekolah di tingkat sekolah, agar berjalan. Program bantuan mts nurul ulum tahun 2013. Data dokumentasi kegiatan penelitian tindakan sekolah.

Bapak/ibu guru dapat mengembangkan sendiri program kerja.

Program sekolah program yang sudah dilaksanakan peningkatan standar kompetensi kelulusan komponen : Sesuai dengan tujuan penyusunan program kerja tahunan yaitu meningkatkan mutu pendidikan, sehingga terciptanya sumber daya manusia yang berkualitas, yang memiliki derajat keimanan dan ketaqwaan terhadap tuhan yang maha esa yang tinggi, serta memiliki ilmu pengatahuan dan. Seorang wirausaha berperan baik secara internal maupun eksternal. Bismillah, assalamu 'alaikum warahmatullahi wa barakatuh, bapak/ibu yang kami banggakan, semoga sentiasa dalam penjagaan allah swt. Program kerja sekolah tahun pelajaran 2009/2010 ini berisi tentang gambaran penyelenggaraan sekolah, mulai dari perencanaan, persiapan, pelaksanan, pengawasan, evaluasi dan pelaporan. Contoh sekolah online yang sangat responsive dan ringan untuk diakses. Begitulah contoh proposal kegiatan sekolah, selanjutnya adalah contoh proposal kegiatan pramuka.  pelaksanaan rks program : Proposal kegiatan biasanya ditulis oleh pihak. Program yang sudah dilaksanakan 1. Peningkatan standar rkas  penggandaan dokumentasi rks dan rkas komponen : Program kerja kepala sekolah (pengajaran) tahun pelajaran 2012/2013 kegiatan awal tahun pelajaran hari rabu jumat senin kamis kamis sabtu tgl/bln 20 juni 2012 20 juli 2012… Contoh project management report, contoh project charter, contoh project based learning, contoh project visual basic, contoh project proposal dokumentasi cbe, contoh dokumentasi proyek, contoh dokumentasi ppda, modul 4:

Related : Contoh Dokumentasi Program Sekolah - Contoh Format Laporan Dokumentasi : .rapat, merangkum kesimpulan, membuat dokumentasi, bersifat objektif atau tidak memihak..